PCSI 1 Lycée Saint Louis
menu
  • Accueil
  • Cours
  • Exercices
  • Devoirs et colles
  • Révisions

Breadcrumbs

  • Vous êtes ici :  
  • Accueil
  • Cours
  • Cahier de texte

Cours

  • Cahier de texte
  • Support de cours
  • Formulaires

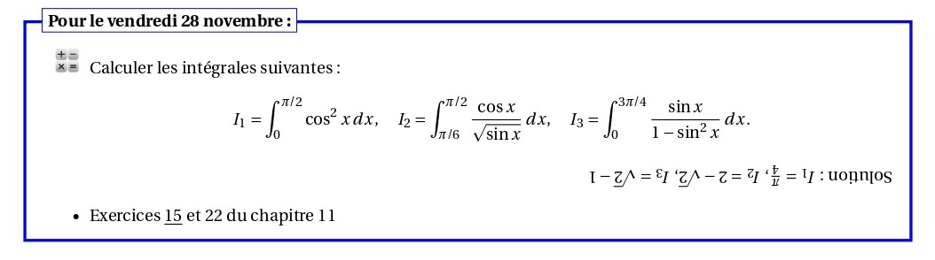
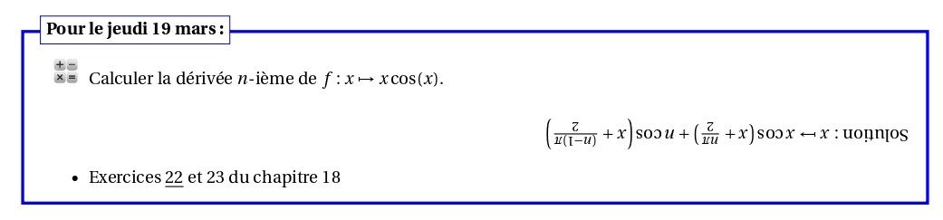
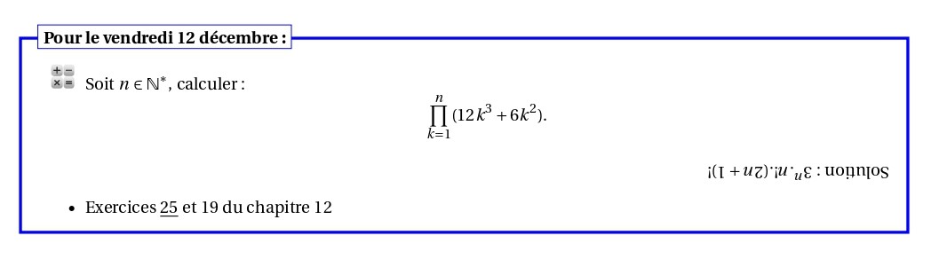
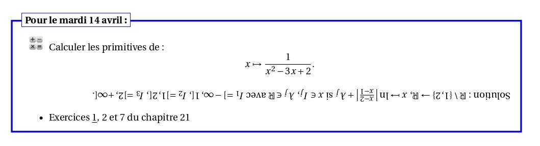
Cahier de texte

 

free Joomla templates
Back to top